We must now turn our attention to the sub-microscopic world and tackle directly the thorny issue of the probabilistic nature of matter. The main difficulty here is that the most successful theory ever conceived by Man to explain with astonishing reliability the phenomena of the sub-microscopic world, quantum theory, fails to provide any concrete picture of reality. The situation is so bad, that in his book Quantum Reality: Beyond the New Physics author Nick Herbert remarks:
“One of the best-kept secrets of science is that physicists have lost their grip on reality. News of the reality crisis hardly exists outside the physics community. What shuts out the public is partly a language barrier –the mathematical formalism that facilitates communication between scientists is incomprehensible to outsiders- and partly the human tendency of physicists to publicize their successes while soft-pedalling their confusions and uncertainties. Even among themselves, physicists prefer to pass over the uncomfortable reality issue in favor of questions ‘more concrete’. Recent popularizations such as Heinz Pagels’ Cosmic Code have begun to inform the public about the reality crisis in physics …Nothing exposes the perplexity at the heart of physics more starkly than certain preposterous-sounding claims a few outspoken physicist are making concerning how the world really works. If we take these claims at face value, the stories physicists tell resemble the tales of mystics and madmen. Physicists are quick to reject such unsavory associations and insist that they speak sober fact. We do not make such claims out of ignorance, they say, like ancient mapmakers filling in terra incognitas with plausible geography. Not ignorance, but the emergence of unexpected knowledge forces on us all new visions of the way things really are. The new physics vision is still clouded, as evidenced by the multiplicity of its claims, but whatever the outcome it is sure to be far from ordinary.”
The basic tenet of quantum mechanics is that any measurements done in the realm of the very small are due to be uncertain to some degree not because of a lack of precision in our measuring instruments or human errors during the act of measurement but because of the probabilistic nature of matter itself, and the prediction of the outcome of a single experiment cannot be known until the experiment has been carried out, so there cannot be any prediction, only a verification.
In principle, at least, the search for initial conditions that can lead to a universe like the one we live in capable of sustaining life appears to be doomed even before we start, for if we cannot predict with some certainty the outcome of a single experiment done at the submicroscopic quantum level, much less could we hope to be able to trace back a set of initial conditions for the creation of a universe. Right?
It all depends on how we approach the problem. Before giving up all hope, we need to take a closer look to see if we have other alternatives for analysis. Although there are several approaches we can take, we will take one which will be the easiest to explain to the general reader, but which at first will sound to many as nothing more than a rehash of science fiction, while for others it may come as a shocker.
The many-worlds interpretation of quantum mechanics was conceived by a Princeton graduate student back in 1957, Hugh Everett III, while he was a Ph. D. candidate under John Archibald Wheeler, and despite its seemingly outrageous claim, it has widespread support among many quantum physicists, since it resolves the greatest riddle in quantum theory, the quantum measurement problem. There are many experiments conducted routinely every day at the submicroscopic level (and in most of these experiments if not all some type of measurement takes place), and even though for many such experiments quantum mechanics predicts that several outcomes are equally probable, only one of the many possible outcomes is actually observed. If the same experiment is repeated time and time again, then the other possible outcomes will occur sooner or later, and as statistical data is accumulated over many such similar experiments it will be discovered that they all occur with equal frequency, just as predicted by quantum mechanics, with no outcome being more or less likely to take place than the others. The dilemma comes when an experiment will only be carried out once for all time. Then just one of the many possible outcomes will be seen to occur. But what about the other possible outcomes? Weren’t they also supposed to happen with an equal probability? And since we, the world, and even the Universe itself, are made up of atomic and subatomic particles, it seems that by the sole act of measurement the history of the Universe is being routed in a very specific direction with such direction being preferred over all of the others that were assumed to be equally probable. But there is no a priori reason to believe that one of the possible universes should be given any preference above all of the others, at least not because of a single act of measurement done at the submicroscopic level. The many-worlds interpretation of quantum mechanics solves this riddle by assuming that myriads of universes are actually created each time a measurement act takes place, and thus all outcomes really do take place. In other words, entire new universes come into being identical in every detail with the exception of the measurement act that gave birth to such alternate universes. According to this view, if we flip a coin one universe will contain a coin that came up heads while another will contain the coin that came up tails. The original human being who flipped the coin dwells in one of the two universes, perhaps the universe in which the coin came up heads, while another human being identical to him in every respect now dwells in another universe, the universe in which the coin came up tails. None of these two human beings will ever become aware of the existence of the other one.
Nick Herbert adds the following comments in his book Quantum Reality:
“The ‘ordinariness’ of quantum facts in spite of the real existence of multiple universes is accounted for in Everett’s model by the fact that each human observer perceives only a single universe. We do not know why human perception is limited to such a small sector of the real world, but it seems an unavoidable fact. We are not directly aware of these alternate worlds, but our universe would not be the same without them … Everett’s quantum theory without collapse describes the world as a continually proliferating jungle of conflicting possibilities, each isolated inside its own universe … We can picture Everett’s super reality as a continually branching tree of possibilities in which everything that can happen actually does happen [If we draw moral and ethical considerations into the picture, it is conceivable that not all of the many possible universes may be able to come into being. For example, a truly righteous man in a given situation where he has to make a choice using his free will could refrain himself from committing a murder under any conceivable universe; and in such a case there will be no alternate universes where he has committed a crime. In effect, all those other alternate realities would be chopped off, and there would be no such branches where he decides to commit a crime. In this respect, some few men with strong firm convictions may have an upper hand over quantum mechanics, becoming privileged observers and participants.] Each individual’s experience (lived out in mere reality, not super reality) is a tiny portion of a single branch on that lush and perpetually growing tree.”
Even though our perception appears to be limited to a single universe, the power of our imagination allows us to conceive the possibility of many alternate universes and to follow the course of events in those alternate universes as “reality” unfolds in each of them. In the book What If? edited by Robert Cowley, the reader is shown how a fragile network of close calls, narrow misses and lucky breaks could have influenced the outcome of history as surely as thoughtful strategy, inspired leadership and advanced technology (the book includes thirty-four essays from notable historians among whom we can cite Stephen E. Ambrose, John Keegan and James McPherson). Another book entitled What If Hitler Had Won The War deals precisely with the outcomes derived from that possibility. Whenever somebody writes a novel, his imagination is allowing him to pierce into some of those alternate universes. Whenever we are daydreaming (and even when we are dreaming!) our imagination can take us to the “reality” of those alternate universes (indeed, some philosophers and even some well respected psychologists have argued that we spend more time thinking and trying to live out those alternate realities than our own reality, this reality). The many-worlds view of quantum mechanics asserts that all such alternate realities really do exist, but we are barred from communicating with the inhabitants of those alternate realities once the “branching off” has taken place. Acceptance of the many-worlds interpretation of quantum theory by many respected leaders of the scientific community doesn’t mean that this theory has arrived without creating a jolt. Noted physicist Bryce DeWitt, writing an article in Physics Today that appeared in September 1970, gave a description of his first contact with the theory as follows:
“I still recall vividly the shock I experienced on first encountering this multiworld concept. The idea of 10100+ slightly imperfect copies of one-self all constantly splitting into further copies, which ultimately become unrecognizable, is not easy to reconcile with common sense. Here is schizophrenia with a vengeance. How pale in comparison is the mental state of the imaginary friend, described by (Eugene P.) Wigner, who is hanging in suspended animation between only two possible outcomes of a quantum measurement.”
In the example cited above, let us go back to the man who flipped the coin. At the very moment he is about to flip the coin, both universes in which the coin is either heads or tails do not yet exist. For both universes to branch out from a single universe, the act of flipping the coin must be carried out. Thus, the two new and slightly different alternate realities necessarily had to come from a single reality, from a single universe. Of course, even before the coin is actually flipped, there is still the issue of the decision on whether to flip the coin or not, and we can very easily imagine one universe in which the decision to flip the coin has already been taken and another alternate yet equally probable universe in which the decision not to flip the coin has also been taken. But again, we can always go back even further, to the point where no decision has yet been taken on whether to flip the coin or not. And again, two different alternate realities would converge into a single reality by the mere process of going backwards in time.
It is possible that at the very moment you are reading this, you are about to exist simultaneously in an infinite variety of probable alternate universes, and by the sole decision of taking a break in you reading or continuing ahead you can actually split this universe and make it branch into at least two different universes, one in which you are still reading this book and another in which you have decided to take a break, with you yourself living in one such universe and your other identical self starting out a slightly different life in another alternate reality that will forever be beyond your reach. But even after the split has taken place, you are certain that you yourself and the entire universe around you was made up of a single reality, a reality that can be traced back in a fully deterministic manner to the moment before you took your decision. And this process can be continued indefinitely, all the way back to the set of initial conditions, in a manner fully consistent with the postulates of quantum mechanics. To put this in another perspective, imagine, if you will, that you start climbing up a tree at a point A somewhere along its trunk, and reach a branching fork with two main branches above. You toss a coin and leave to chance the decision as to which of the two branches you will continue to climb, either branch B or branch C. Assuming you continue climbing through branch B, there can be no doubt in your mind that you started out at point A, the trunk of the tree. As for your alter ego who took the decision in his alternate universe to continue climbing through branch C, there would be absolutely no doubt in his mind that he also started out at point A. Let us now forget about him, for you have no way of reaching him. You continue climbing and, once you have encountered another branching point, which forks out into branches D and E, you again leave it to chance to determine which branch you will climb next. If it turns out to be branch E, then you know for sure that you have traveled through the path
A → B → E
in that precise sequence. Even if the tree begins to branch out into an infinite number of possible branches at each point, your path (which is completely oblivious to all of the other alternate routes your many other alter egos have taken) can still be traced back step by step in a fully deterministic manner all the way to the starting point, back to the initial condition.
From this perspective, quantum mechanics may make the future uncertain, but for any observer in his own universe his past will be unique, made up of a single reality, traceable backwards to a single starting point. This is in full agreement with our daily experience. We may not have a clear recollection of the moment we were born, but we have few doubts that this event was surrounded by a unique set of circumstances. If the initial conditions were in the future, quantum mechanics would make it utterly impossible for us to seek our origins. But the initial conditions are in the past, protected from the riddles of quantum logic.
As far as we are concerned, there is only one set of initial conditions that led to our existence and the universe we live in. As for our brothers who may live in other alternate universes, each one of them would also have their own paths fully traceable backwards in a fully deterministic manner, each one would have his own set of initial conditions. And if everything is traced back to the very beginning, to the very first starting point, to the singularity which preceded the universe, to the root of the tree, then at that point there are no alternate realities, there is just one singly reality, and all the other alternate universes converge into this one starting point, the same identical starting point for everything. Indeed, this may have been the only time in the history of the Universe when quantum mechanics did not impose its probabilistic machinery and in which there was but a single reality, the reality of an act of creation.
Up until now, when we have talked about other possible worlds and alternate realities, we have talked mostly about such possible worlds operating under exactly the same set of natural laws. But now we will take a major departure. We will talk about the possibility of there being other worlds operating under natural laws different from the laws that characterize this Universe.
Can such a thing be done? If so, then we could conceive the possibility of the creation of other universes unlike our own, with the possible outcomes different in more ways than one. But before going into such speculations, let us see what William Poundstone has to say about this in his book Labyrinths of Reason:
“One of the deepest questions in philosophy is how diverse the possible worlds are. Saul Kripke [see, for example, the book Naming and Necessity by Saul Kripke] argued that such facts as ‘the atomic number of gold is 79’ are true in any possible world … Suppose gold’s atomic number was 78. It would fall beneath nickel and palladium in the (periodic) table (of elements) and resemble them. It would still be a dense metal, but its properties ought to be more like platinum (which in fact has atomic number 78). Would ‘gold’ that resembles platinum in all respects be gold at all? You could contend that the other elements would be shifted one atomic number down in the periodic table so that gold could still occupy the same relative position. Gold would be element 78, platinum would be element 77, and so on. But then you’d drop an element at the beginning of the periodic table. The dropped element would be hydrogen, which makes up stars and is by far the most common element in our universe. A universe without hydrogen would be so different that we are unable even to guess how different it would be. To a chemist, Kripke maintained, the elements have properties that follow more or less inexorably from their atomic numbers. The idea of a world in which helium is not an inert gas is not so much different from the idea of a world in which 2 in not 1 + 1 … Jaakko Hintikka defined knowledge via possible worlds. To increase one’s knowledge is to decrease the number of possible worlds compatible with what one knows. Scientific discovery decreases the number of compatible possible worlds. It is natural to ask how far this process may be carried. In Hintikka’s view, total knowledge would mean paring away all the possible worlds until just one remains –the actual world. To someone utterly ignorant, the number of possible worlds compatible with his knowledge is infinite. To someone gifted with total knowledge, the number of possible worlds is narrowed to one. What if the field was narrowed to zero? That would be the predicament of someone who has discovered that no possible world is compatible with what he knows. His known set of facts includes a contradiction. The best paradoxes seem to prove that this is not a possible world.”
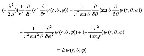
If we are to take such pessimistic views at their face value, it would seem that any attempt at designing a universe even slightly different from the one we live in is an impossible task, and thus there are no other design options available. Yet, the outlook may not be that gloomy. Before proceeding, let us take a look at the following equation that might look somewhat intimidating to the uninitiated:
Without going into the nitty-gritty of the derivation of this formula, we will simply state that this “differential equation” is basically Schrödinger’s wave equation for the hydrogen atom, a formula that can be derived directly from the fundamental axioms of quantum mechanics. When this differential equation is solved, it correctly predicts all of the known chemical and physical properties of hydrogen. Herein lies the enormous appeal of quantum mechanics as one of the most successful theories of modern times.
Notice carefully that the formula includes several values that have to be supplied after careful measurements done in the laboratory. One of these values is the e, the magnitude of the electric charge of the electron (which is also the magnitude of the electric charge of the proton). Another value that must be supplied is ε0, the electrical permittivity of free space (also known as the dielectric constant). Another value that must be supplied is µ, the reduced mass obtained from a formula combining both the masses of the proton and the electron. Once these values have been supplied, the formula can be solved directly, and the properties predicted by the formula are found to match those found by experimentation. As we said, the values of e, ε0 and µ. The formula makes absolutely no demands on what values they might have.
Now comes the fun part. If we assume that the charge of the electron is changed to a value twice its current value (the charge of the proton in the nucleus must also double in order for the hydrogen atom to remain electrically neutral as seen from a distance), then it can be formally proven that the allowed energy levels for the hydrogen atom will increase sixteen fold in magnitude. And this would not just be some mathematical curiosity, it would be an effect fully measurable in the laboratory, so if we ever were to come across a hydrogen atom exhibiting such magnitudes in its energy levels, we would know for sure that the electrical charge of the particles which make up that hydrogen atom had a value twice of what we would expect that value to be. Likewise, it can be formally proven that if the mass of the electron were to double, then the magnitude of the energy for the different allowed energy levels for the hydrogen atom would also double. Furthermore, the atomic orbitals where the electron is expected to be found will also be altered, and the change can be computed directly. On a similar vein, considering that two hydrogen atoms can combine to form a hydrogen molecule (H2), by using several relationships obtained for the allowed molecular orbitals we can predict the relative strength of the bonding between the two hydrogen atoms and thus determine the stability and chemical properties of the “new” hydrogen molecule.
But the effects are much more profound than what the reader might have imagined. For if in another universe the charge of the electron is allowed to be double the current value it has in this Universe, then since we would assume that all the electrons in such universe have exactly the same value (i.e. the value of the charge of the electron is kept as a universal constant), the chemical properties of all the hydrogen atoms in that universe would be different from ours. And since all of the other elements on that universe use the same electrons with the same charge, the chemical properties of all the elements (and not just those of the hydrogen atom) would be different from those in Universe. There would still be a full periodic table of elements in that universe. But the ways in which those elements can combine to form new compounds would most likely be different. And since Schrödinger’s wave equation for the hydrogen atom in that universe would be as valid as in our own Universe as surely as one plus one equals two, without the need to build such universe we can actually predict the chemical properties each element would have in a universe where the charge of the electron has twice the value it has in this Universe. And since we have no restrictions whatsoever as to the values we may assign to each experimentally measured parameter in an alternate universe, then anything goes. We can design a universe built to specifications, our specifications. At least from the vantage point of quantum mechanics alone, before we face other realities.
Having accepted the possibility of other worlds different from our own, with natural laws behaving differently from our own, we are now mentally prepared to take the next step: attempting to create a universe, built to our specifications.


